EN
Агаарын чанарын индекс
2014/10/01
“Биодизелийн түлш” техникийн шаардлага монгол улсын стандарт
2014/10/23
Инфографик: Автомашин
2014/12/05
Инфографик: Хүйтний улирал
УЛААНБААТАРЫН АГААРЫН БОХИРДОЛД ЦАГ АГААРЫН НӨХЦӨЛ ХЭРХЭН НӨЛӨӨЛДӨГ ВЭ?
2019/05/25
АГААРЫН БОХИРДЛЫН ОЛОН УЛСЫН ХУРЛААС ГАРСАН ЗӨВЛӨМЖ
2017/01/16
Улаанбаатар хотын хүйтний улирлын агаарын чанарын мэдээ /2015 оны 10-12-р сард
2016/01/12
Улаанбаатар хотын агаарын чанарын 7 хоногийн мэдээ /2015.04.20-2015.04.26/
2015/04/28
Улаанбаатар хотын агаарын чанарын 7 хоногийн мэдээ /2015.04.06-2015.04.12/
2015/04/15
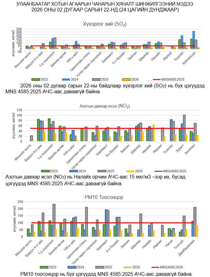
Нийтлэгдсэн огноо: 2026/02/23
УЛААНБААТАР ХОТЫН АГААРЫН ЧАНАРЫН 7 ХОНОГИЙН МЭДЭЭ /2026.03.02-2026.03.08/
2026/03/09
УЛААНБААТАР ХОТЫН АГААРЫН ЧАНАРЫН ХЯНАЛТ ШИНЖИЛГЭЭНИЙ ХОНОГИЙН МЭДЭЭ /2025.03.08/
УЛААНБААТАР ХОТЫН АГААРЫН ЧАНАРЫН ХЯНАЛТ ШИНЖИЛГЭЭНИЙ ХОНОГИЙН МЭДЭЭ /2026.03.05/
2026/03/06
АГААРЫН ЧАНАР. ТЕХНИКИЙН ЕРӨНХИЙ ШААРДЛАГА 4585:2025
2025/10/07
Агаарын чанарын индексээр агаарын чанарыг үнэлэх, мэдээлэх журам
2018/10/16
Агаарын чанарын мэдээ гаргах журам
Инфографик: Шингэрүүлсэн хий, хийн тоног төхөөрөмжийн импорт